Zlomky
Zlomok je časť celku. Zlomok zapisujeme pomocou zlomkovej čiary. Zlomková čiara je vlastne delenie. Môže mať takúto podobu—, ale aj takúto podobu /. Číslo nad zlomkovou čiarou sa nazýva čitateľ. Vyjadruje koľko častí z celku predstavuje zlomok. Číslo pod zlomkovou čiarou sa nazýva menovateľ. Vyjadruje, koľko častí predstavuje celok. Napríklad: máme pizzu a rozdelíme ju na osem častí, a tri časti si zoberiem. Takže mám 3/8(tri osminy)pizze.
Akékoľvek prirodzené číslo vieme zapísať ako zlomok s menovateľom 1. Takže 3=3/1.
Numerácia zlomkov 1
Čítanie zlomkov
Zlomky môžeme čítať viacerými spôsobmi:
- Prečítame čitateľa, potom povieme lomemo/lomené a potom prečítame menovateľa. Takže 3/8 vieme prečítať ako 3 lomeno 8.
- Prečítame čitateľa a potom prečítame menovateľa s príponou -ina(keď je v čitateli 1) alebo s príponou -iny(keď je v čitateli 2, 3, či 4) alebo s príponou -ín(keď je v čitateli 5 a viac alebo desatinné číslo, alebo 0). Ale pri tomto spôsobe aj skloňujeme. (napríklad zjedol som jednu štvrtinu pizze).
- Väčšina zlomkov s menovateľom, ktorý je vyšší ako 20 a nie je okrúhly(nemá na konci 0) by sa druhým spôsobom čítali zle(napríklad 3/22-tridvadsaťdvatiny by znelo čudne). A preto sa vymyslel aj tretí spôsob. V ňom čítame menovateľa tak, že jednotky prečítame prvé, potom pridáme -a- a potom pridáme zvyšok čísla aj s príponou. Takže 3/22 sa číta ako tri dvaadvadsiatiny.
- Zlomok 1/2 sa nečíta ako jedna dvetina, ale ako jedna polovica. Takisto ďalšie zlomky s menovateľom 2 (napr. 3/2-3 polovice).
Hodnoty zlomkov: pravé a nepravé zlomky
Zlomok, ktorý má čitateľa menšieho ako menovateľa má hodnotu menšiu ako 1. Takýto zlomok sa nazýva pravý(1/3; 4/5 2/7...). Zlomok, ktorý má čitateľa väčšieho ako menovateľa, má hodnotu väčšiu ako 1. Takýto zlomok sa nazýva nepravý(5/3; 7/5; 9/7...). Zlomok, ktorý má rovnakého čitateľa aj menovateľa sa rovná 1.
Zlomok sa rovná nule, ak ju má v čitateli(0/5=0). Vzhľadom na to, že zlomková čiara je vlastne delenie a deliť nulou sa nedá, tak zlomok s menovateľom 0 nemá zmysel(4/0-nemá zmysel).
Zlomok môžeme prevrátiť, čiže vymeniť čitateľa a menovateľa. Takže napríklad prevrátená hodnota zlomku 3/4 je 4/3, zlomku 2/3 je 3/2, číslu 4 je 1/4 atď. Pozor, nie je to to isté ako opačná hodnota, lebo prevrátená hodnota napr. čísla 3 je 1/3, ale opačná hodnota čísla 3 je -3.
Úprava zlomkov: krátenie a rozširovanie
Zlomky vieme upravovať, čiže krátiť(zjednodušovať) a rozširovať. Krátenie zlomku je delenie čitateľa aj menovateľa tým istým číslom rôznym od nuly(čiže akýmkoľvek okrem nuly). 4/8 je to isté ako 2/4 alebo 1/2. Rozširovanie zlomku je násobenie čitateľa aj menovateľa tým istým číslom rôznym od nuly.
Zlomok je v základnom tvare, ak sa už nedá krátiť, čiže ak sú čitateľ a menovateľ navzájom nesúdeliteľné čísla. Takže základný tvar zlomku 4/8 je 1/2, zlomku 2/6 je 1/3 atď.
Porovnávanie zlomkov
Je samozrejmé, že akýkoľvek pravý zlomok je menší ako nepravý zlomok, ale čo ak porovnávam dva pravé alebo dva nepravé zlomky?
Tu nám pomôže pravidlo, že ak majú zlomky rovnaké menovatele, väčší je ten ktorý má väčšieho čitateľa a že ak majú zlomky rovnaké čitatele, väčší je ten, ktorý má menšieho menovateľa. Ale čo ak porovnávam zlomky, ktoré nemajú rovnaké čitatele ani menovatele? V takom prípade pomôže úprava zlomkov. Zlomky si upravíme(väčšinou rozšírime, ale môžeme aj krátiť) tak, aby mali spoločné menovatele(môžu byť aj čitatele, ale menovatele sú bežnejšie).
Porovnaj zlomok 2/3 so zlomkom 3/5: 1.najmenší spoločný násobok čísel 3 a 5 je 15. Takže zlomky upravím tak, aby mali menovatele 15. 2.tri krát päť je pätnásť takže aj čitateľa prvého zlomku(2) násobím päťkou. Dostanem 10/15. 3.päť krát tri je pätnásť, takže trojkou násobím aj čitateľa druhého zlomku. Dostanem 9/15. 4.10 je väčšie ako 9, čiže aj zlomok 10/15(2/3) je väčší ako zlomok 9/15(3/5). 2/3>3/5.
Počtové operácie so zlomkami
Sčítanie a odčítanie zlomkov
Zlomky, ktoré majú rovnaké menovatele, sčítavame/odčítavame tak, že sčítame/odčítame iba čitatele a menovateľa opíšeme do výsledku. Zlomky, ktoré nemajú rovnaké menovatele si upravím(väčšinou rozšírim, ale môžem aj krátiť) tak, aby rovnaké menovatele mali.

Násobenie a delenie zlomkov
Zlomky násobíme tak, že čitateľa násobíme čitateľom a menovateľa menovateľom. Pri násobení môžeme krátiť navzájom akéhokoľvek čitateľa s akýmkoľvek menovateľom.

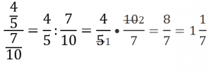
Deliť zlomok znamená násobiť zlomok, ktorý je delencom, prevrátenou hodnotou deliteľa.

Numerácia zlomkov 2
Zlomky, zmiešané čísla a desatinné čísla
Každý nepravý zlomok vieme previesť na tzv. zmiešané číslo. Zmiešané číslo je číslo, ktoré tvorí celá časť(celé číslo) a zlomková časť(pravý zlomok). Napríklad 21/3, 54/7, 14/5 atď. Zmiešané číslo čítame tak, že najprv prečítame celú časť, potom povieme celá(ak má hodnotu 1), celé(ak má hodnotu 1; 2 či 3), alebo celých(ak má hodnotu 5 a viac) a potom prečítame zlomkovú časť ako normálny zlomok. Takže napríklad 11/2 čítame ako jedna celá jedna polovica.
Na zmiešané čísla prevádzame zlomky tak, že čitateľa vydelíme menovateľom na neúplný podiel a zvyšok. Neúplný podiel bude celá časť, zvyšok bude čitateľ zlomkovej časti a menovateľ ostáva taký istý ako v pôvodnom zlomku. Zmiešané čísla prevádzame na zlomky tak, že menovateľa zlomkovej časti vynásobíme celou časťou a k nej pripočítame čitateľa zlomkovej časti. Výsledok potom bude čitateľom zlomku a menovateľ ostáva taký istý ako v zmiešanom čísle.
Na desatinné čísla prevádzame zlomky tak, že čitateľa vydelíme menovateľom. Niekedy pri tom môže vzniknúť aj perióda. A ako desatinné čísla prevádzame na zlomky a zmiešané číslo. Každé desatinné číslo je vlastne zmiešané číslo s menovateľom zlomkovej časti 10, 100, 1000 atď. Ak chceme desatinné číslo premeniť na zlomok, menovateľ bude názov poslednej číslice v desatinnej časti(napr. desatina-menovateľ bude 10, stotina-menovateľ bude 100 atď.) a čitateľ bude opísané desatinné číslo bez desatinnej čiarky. Napr. 5,6=56/10=28/5.
Zápis zlomkov na číselnej osi
Zlomky na číselnej osi zapisujeme takto:
- Najprv si zistíme, či ide o pravý alebo o nepravý zlomok. Podľa toho vyberieme daný úsek medzi celými číslami. Pravý zlomok bude medzi 0 a 1. Nepravý zlomok najprv prevedieme na zmiešané číslo. Jeho miesto na číselnej osi je medzi hodnotou celej časti a nasledujúcim číslom.
- Potom dĺžku vybraného vynásobíme daným pravým zlomkom, alebo zlomkovou časťou daného zmiešaného čísla.
- V bode vzdialenom o výslednú dĺžku od prvého čísla vybraného úseku bude zlomok.
Zložené zlomky a zlomky s desatinnými číslami
Zložený zlomok je zlomok, ktorý má v čitateli alebo v menovateli ďalší zlomok.Pri úprave zložených zlomkov na normálne sa využíva fakt, že zlomková čiara je vlastne delenie. Takže jednoducho horný zlomok vydelíme dolným.

No tento postup sa dá zjednodušiť. Stačí, keď si zapamätáme pravidlo: vnútorné krát vnútorné, vonkajšie krát vonkajšie.

Zlomky, ktoré majú v čitateli alebo v menovateli desatinné číslo, upravíme tak, že ich rozšírime 10; 100; 1000; atď.
